|
|
|
|
Invited keynote talk at ICAMDATA 2024 on Challenges in Atomic Spectroscopy of Low-Ionisation Stage Heavy Elements for Astrophysics
The 13th International Conference on Atomic and Molecular Data and their applications
(ICAMDATA13), Lanzhou, China, September 2024
|
|
Dr Milan Ding, Research Associate, in the Imperial College Spectroscopy Group described the latest research
being undertaken in high resolution spectroscopy of heavy elements, lanthanides, giving background on motivation and applications of the new atomic data, and discussing the challenges and how these can be overcome in this research.
We hope to be able to add here the link to listen to this talk when it is published.
Results from Dr Ding's ground breaking study of doubly ionised neodymium have recently been published. This collaborative project involved novel
laboratory experiments in the Imperial College Spectroscopy Laboratory and challenging analysis of the resulting spectra to yield new atomic data,
particularly atomic energy levels.
We collaborated with
Dr Alexander Ryabtsev and Dr Tatiana Ryabchikova (Russian Academy of Sciences, Moscow), who carried out demanding atomic structure calculations to provide
theoretical support for the study as well as the use of
stellar spectra to provide additional confirmation of the new spectral line identifications from the laboratory measurements. The new atomic data is particularly important in
applications in astronomy, ranging from understanding the origins of heavy elements to interpreting the light seen from colliding neutron stars, whose signals are being detected by gravitational waves.
Dr Ding's papers on new atomic data for heavy elements (doubly ionised neodymium) are published in Astronomy and Astrophysics Journal in two parts, with the first recently appearing:
Download PDF Copyright (2024) The Astronomy and Astrophysics Journal
|


Artist impression of colliding neutron stars, image credit: LIGO.
|
|
|
|
New infra-red spectrometer
|
STFC Futures Grant awarded: "A New World Class Infrared Spectrometer for Fundamental Atomic Data for
Astrophysics"
|
|
Our new infra-red - visible spectrometer (Bruker), funded by the STFC (
grant ST/X005100/1)
now joins our visible-VUV spectrometer in our Spectroscopy Laboratory, broadening our access to high resolution spectra across a much wider
wavelength range.
The new infra red spectra we will observe will improve our measurement
of key atomic data needed to interpret astronomical spectra from stars to quasars, exoplanets to colliding neutron stars.
|

Bruker high resolution FT Spectrometer (Copyright Bruker 2023)
|
|
|
|
Meet our PhD student Milan Ding, and build your own spectrometer
|
Imperial College outreach project in the White City area
Milan Ding
|
|
Learn more about what inspired PhD student Milan Ding
to a PhD in laboratory astrophysics and atomic spectroscopy, and try your hand at building your own spectrometer.
Download the Looking at Light pack PDF Copyright (2023) Imperial College London and
The Invention Rooms
|

In our Imperial College Spectroscopy Laboratory.
|
|
|
|
Invited keynote talk at ASOS on Atomic Data Measured Using High
Resolution Spectroscopy
|
The 14th International Colloquium on Atomic Spectra and Oscillator Strengths for Astrophysical and Laboratory
Plasmas (ASOS14), Paris, July 2023
|
|
Dr Christian Clear, Research Fellow, in the Imperial Spectroscopy Group described the latest research
being undertaken in the group, giving background on motivation and applications of our atomic data and recent highlights.
Dr Clear's keynote presentation slides PDF Copyright (2023)
Imperial College London can be found at the
ASOS14 conference website.
|

14th ASOS conference in Paris, 2023.
|
|
|
|
New Paper Published on Atomic Data For Ni II Allowing More Accurate Analyses of Astrophysical Spectra
|
Wavelengths and Energy Levels of Singly Ionized Nickel (Ni II) Measured Using
Fourier Transform Spectroscopy
Christian P. Clear, Juliet C. Pickering, Gillian Nave, Peter Uylings & Ton Raassen
Astrophysical Journal Suppl., 261, 35 (2022)
Download PDF Copyright (2022) The American Astronomical Society
|
|
We have published new atomic data for wavelengths and atomic energy
levels of singly ionised nickel, Ni II.
Analyses of thousands of spectral lines of singly ionized nickel (Ni II) in nickel spectra measured
by Fourier transform spectrometers in the region 1800–70,000 cm−1 (5555 – 143 nm) has led to a new understanding of
the atomic energy levels in Ni II.
This work has yielded at least an order of magnitude improvement in the accuracy of line wavelengths and energy levels compared
with previously available data for Ni II. 283 previously known energy levels are improved, and 25 levels are found for the first time. Eigenvector compositions of the
energy levels have been calculated using the Orthogonal Operator Method, and were an important aid in the analysis of the level structure.
This research enables broader, more reliable and accurate application of Ni II data in astronomical chemical abundance analyses.
These new wavelength and atomic energy level data are important in ongoing studies of stellar spectra,
in particular identification of Ni features and elemental chemical abundance determination.
This study is, to the best of our knowledge, the
most accurate to date for Ni II wavelength and energy levels. The project continues with future publications
in preparation on higher lying energy levels in Ni II and transition probabilities.
|

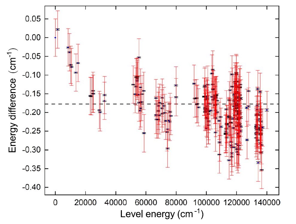
Comparison of the revised Ni II energy levels of this work
and previously published values in the compilation of Sugar & Corliss (1985).
The uncertainties of our work are shown in black, and previous uncertainties in red.
Clear et al, ApJS 261,35 (2022)
|
|
|
|
"Build Your Own Spectroscope" Workshop
|
Over 500 festival goers build their own spectroscopes in our Great Exhibition Road Festival Workshop, June 2022.
|
|
During the weekend of 18-19 June 2022 at the Great Exhibition Road Festival, our "Make your own spectroscope" Workshop provided
both children and adults with the tools to make their own spectroscope: using just card and a CD!
At this workshop, four lamps each containing a different element were on display, but with their labels hidden, the elements in each lamp remained a mystery!
Using their newly made spectroscopes, members of the public played detective and identified the neon,
sodium, helium and cadmium in each lamp by comparing their observations with reference spectra. The unique "fingerprint"
spectra of these lamps could be seen by the children using their own spectroscopes.
Many people entered the prize draw, with the winner gaining a pocket diffraction grating spectroscope!
|

Using their assembled spectroscopes to look at lamp spectra

Make your own Spectroscope Workshop.
|
|
|
|
Paper Published on New Atomic Data For Hyperfine Structure of Co II for Accurate Stellar Abundances
|
Measurements of the Hyperfine Structure of Atomic Energy Levels in Co II
M. Ding & J.C. Pickering
Astrophysical Journal Suppl., 251 (2), 24 (2020)
Download PDF Copyright (2020) The American Astronomical Society
|
|
We have published new atomic data for hyperfine structure of singly ionised cobalt, Co II.
Analyses of hyperfine structure constants of singly ionized cobalt (Co II) were performed on cobalt spectra measured
by Fourier transform spectrometers in the region 3000–63,000 cm−1 (3333 – 158.7 nm).
Fits to over 700 spectral lines led to measurements of 292 magnetic dipole hyperfine interaction A constants, with typical
uncertainties between ±0.4 mK and ±3.0 mK. The number of Co II levels with known A values has now increased tenfold,
improving and enabling the wider, more reliable, and accurate application of Co II in astronomical chemical abundance analyses.
These new hyperfine structure atomic data are important in ongoing studies of stellar spectra,
in particular elemental chemical abundances.
Cobalt is an iron group element, one of the odd-Z nuclei, where production of these elements in stars
is less well understood. Hyperfine structure broadens spectral lines observed in stars, and if it is not understood, or measured in
the laboratory it can lead to very significant errors in determining strengths of stellar spectral lines, which in turn leads to errors in
the relative abundance of cobalt determined from these lines.
This study is, to the best of our knowledge, the
most comprehensive of any iron group (3d) element in terms of new
hyperfine structure splitting factors being found
for the majority of known energy levels.
|

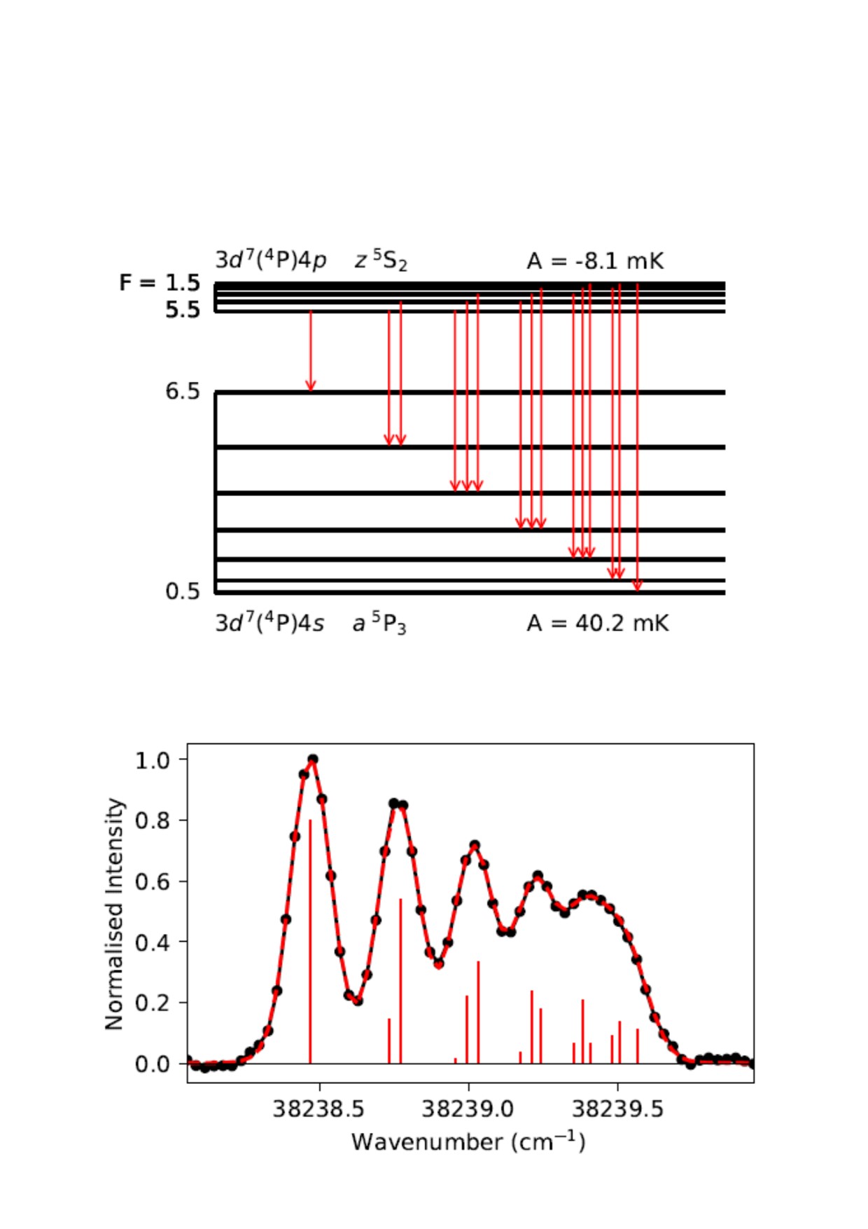
Observed (black) and fitted (red) line profile of a transition at 38289.969 cm-1 of Co II. The
relative intensities of the hyperfine structure components and transition diagram
are shown.
|
|
|
|
Paper Published on New Atomic Data for Quasar Studies of possible Time and Spatial Variations of the Fundamental Constants
|
Reference wavelengths of Si II, C II, Fe I,
and Ni II for quasar absorption spectroscopy
Gillan Nave and Christian Clear,
Monthly Notices of the Royal Astonomical Society 502 (4), 5679-5685, April 2021
Download PDF of Published Paper
and PDF arxiv preprint
Download PDF Copyright (2021) Oxford University Press on behalf of Royal Astronomical Society.
|
|
Together with G. Nave at NIST we have published new atomic data for studies of quasars to investigate possible time variation
of fundamental constants.
Wavelengths of absorption lines in the spectra of galaxies along the line of sight to distant quasars
can be used to probe the variability of the fine structure constant, α, at high redshifts,
provided that the laboratory wavelengths are known to better than 6 parts in 10 8 ,
corresponding to a radial velocity of ≈20 ms−1. For several lines of Si II, C II, Fe I, and Ni II, suitable for these studies,
previously published wavelengths are inadequate for this purpose. Improved wavelengths for these lines were derived by
analysing Fourier transform spectra. The accuracy of these lines has been improved by factors ranging from 2 to 10, and they
can now be used to test variation of the fine structure constant.
|

Artist’s impression of quasar J1120+0641, a very distant quasar - analysis of the line of sight absorption spectra to this quasar can give estimates of the fine structure constant as it was 13 billion years ago (Wilczynska et al, Science Advances
6 (17) 9672 (2020)).
Credit: ESO/M. Kornmesser.
|
|
|
|
High Accuracy Stellar Spectroscopy
|
Imperial College contributes to IAU Commission B5 Working Group on High Accuracy Stellar Spectroscopy Triennial Report
Paul Barklem, Sultana Nahar, Juliet Pickering, Norbert Przybilla, and Tatiana Ryabchikova
Website of High Accuracy Stellar Spectroscopy Triennial Report
Download PDF Copyright (2021) International Astronomical Union
|
|
As a member of the Working Group, High Accuracy Stellar Spectroscopy, of the IAU (International Astronomical Union), Juliet Pickering has contributed
to the triennial report, highlighting recent advances in atomic data for stellar astrophysics applications.
|

IAU Website
|
|
|
|
Paper Published: Recent advances in experimental laboratory
astrophysics Posted: 15th October 2020
|
Recent advances in experimental laboratory
astrophysics for stellar astrophysics
applications and future data needs
Juliet C. Pickering , Maria Teresa Belmonte, Christian P. Clear,
Florence Liggins and Florence Concepcion-Mairey
Proceedings of the International Astronomical Union, 15(S350) (Laboratory Astrophysics: from Observations to Interpretation
Symposium) 220-228, 2019, F. Salama & H. Linnartz, eds. doi:10.1017/S1743921320000642
Download PDF Copyright (2020) International Astronomical Union
|
|
Our paper covers recent progress in new accurate atomic data for astrophysics applications, and looks to
future atomic data needs for astrophysics. It is part of a volume published as a result of the successful
IAU (International Astronomical Union)
Symposium S350 "Laboratory Astrophysics: from Observations to Interpretation".
|

Example of the impact of new accurate laboratory transition probabilities for the Gaia GES survey,
tested in the Solar spectrum. The new atomic data is now in the Gaia GES linelist.
|
|
|
|
"Discovering Light" Workshop
|
Over 450 children take part in our Workshop at the Imperial Festival, April 2018
|
|
Over a busy weekend the Spectroscopy Team ran our "Discovering Light" workshop at the Imperial College Festival (28th-29th April 2018).
Led by research associate, Dr Teruca Belmonte, the team, aided by researchers from other groups in the Physics department,
helped over 450 children (aged 4-18) build their
own spectrometers, and use these to investigate a range of mystery lamps. The unique "fingerprint"
spectra of these lamps could be seen by the children. They discovered the spectra of leds, tungsten, sodium, and the room lights amongst others.
|

Using their assembled spectrometers to look at lamp spectra
|
|
|
|
Special Session on Laboratory Astrophysics
|
EWASS/NAM special session, April 2018, Liverpool
Download PDF EWASS poster
|
|
We were part of the organizing committee for the
Special Session: Atomic and molecular data needs for astronomy and astrophysics
at
EWASS (European Week of Astronomy and Space Science
that
was held with NAM (National Astronomy Meeting) in Liverpool, April 2018. Speakers from across Europe presented their research on theoretical and experimental atomic and molecular data
for astrophysics, and data needs were highlighted by astronomers.
|

EWASS logo
|
|
|
|
High Accuracy Stellar Spectroscopy
|
Imperial College contributes to IAU Commission B5 Working Group on High Accuracy Stellar Spectroscopy Triennial Report
Paul Barklem, Sultana Nahar, Juliet Pickering, Norbert Przybilla, and Tatiana Ryabchikova
Website of High Accuracy Stellar Spectroscopy Triennial Report
Download PDF Copyright (2018) International Astronomical Union
|
|
As a member of the Working Group, High Accuracy Stellar Spectroscopy, of the IAU (International Astronomical Union), Juliet Pickering has contributed
to the triennial report, highlighting recent advances in atomic data for stellar astrophysics applications.
|

IAU Website
|
|
|
|
New Atomic Data For Stellar Composition
|
Lifetime measurements and oscillator strengths in singly ionized
scandium and the solar abundance of scandium
A. Pehlivan Rhodin, M. T. Belmonte, L. Engstrom, et al
Monthly Notices Royal Astron. Soc 472, 3337–3353 (2017)
Download PDF Copyright (2017) Oxford University Press
|
|
We have published new atomic data for singly ionised scandium, Sc II as part of an international collaboration.
New level lifetimes measured at the Lund High Power Laser Centre were combined with branching fractions
obtained using spectra recorded by Fourier Transform Spectroscopy at Imperial College London to give new oscillator strengths (transition probabilities).
These new oscillator strength atomic data are important in ongoing studies of stellar spectra, in particular elemental chemical abundances.
Scandium is an iron group element,
one of the odd-Z nuclei, where production of these elements in stars is less well understood. The transitions from
highly excited levels that we studied
give diagnostic value since they can be used to
benchmark non-local thermodynamical equilibrium (NLTE) modelling
of stellar atmospheres. A trustworthy NLTE treatment is the
current challenge for accurate stellar abundances. High-precision
atomic data for selected lines are important for this development. A new solar abundance for scandium is presented.
|

Star Eta Carinae, Sc II has been observed (image from Wikipedia)
|
|
|
|
New Atomic Data for Hot Star Studies
The spectrum and term analysis of Co III measured using Fourier transform and
grating spectroscopy
D. G. Smillie, J. C. Pickering, G. Nave, and P. L. Smith
Astrophysical Journal Supplement 223, 12 (11pp), March 2016
Download PDF Copyright (2016) The American Astronomical Society.
|
|
Together with collaborators at NIST
we have published new atomic data for doubly ionised cobalt,Co III
including accurate wavelengths (130-256 nm) and atomic energy levels.
These new data are important in ongoing studies of Hot Star using the Hubble Space Telescope, particularly
for the Advanced Spectral Library(ASTRAL) Treasury project,
which is the stellar equivalent of the Hubble Deep Field. These hot stars shine brightly in the ultraviolet.
By understanding the composition of hot stars we can understand stellar and galaxy evolution.
Our new data, measured using Fourier Transform spectroscopy at Imperial College London and NIST gives at least
order of magnitude improvement in accuracy for Co III.
|

Short section of Co III spectrum upper: FTS spectrum lower: grating spectrum
|
|
|
|
New Atomic Data for Modelling Stellar Atmospheres
Posted: 24th September 2014
|
|
We have released a new set
of Fe I transition probabilities which appear
in the Astrophysical Journal Supplement Series. These new data will be used immediately by
astronomers who are attempting to understand the composition of stars, and in particular will help
them to accurately measure how much iron is present in the outer layers of stellar atmospheres.
In total, we have provided new radiative lifetimes for 31 even-parity levels ranging from
45061 cm-1 to 56842 cm-1, and branching fractions for lines from 20
of these levels. By combining these data we then obtained 203 new transition probabilities
of Fe I.
|

EUV image of the Sun showing emission from iron atoms
|
|
|
Our paper on experimentally measured
experimental oscillator strengths appears in the Monthly Notices
of the Royal Astronomical Society. In this paper, together with collaborators, we targeted the data
requirements of the European Gaia-ESO Survey (GES), which is conducting a large-scale study of
multi-element chemical abundances of some 100,000 stars in the Milky Way with the ultimate aim
of quantifying the formation history and evolution of young, mature and ancient Galactic populations.
We report new data for 142 transitions of Fe I between
3526 Å and 10864 Å, many of which are urgently needed by GES, and assess
the impact of these new data on solar spectral synthesis.
|

Gaia-ESO Survey Logo
|
New IR atomic data for studies of Galactic evolution
Infrared Laboratory Oscillator Strengths of Fe I in the H-Band
Ruffoni MP, Allende Prieto C, Nave G, Pickering JC
Astrophysical Journal, 779 pp. 17 (2013)
|
|
Abstract: We report experimental oscillator strengths for 28 infrared Fe I transitions, for which no previous experimental values exist. These transitions were selected to address an urgent need for oscillator strengths of lines in the H-band (between 1.4 μm and 1.7 μm) required for the analysis of spectra obtained from the Sloan Digital Sky Survey (SDSS-III) Apache Point Galactic Evolution Experiment (APOGEE). Upper limits have been placed on the oscillator strengths of an additional 7 transitions, predicted to be significant by published semi-empirical calculations, but not observed to be so.
|

Download PDF
Copyright (2013) The American Astronomical Society.
|
|
|
|
Nature Editorial
Posted: 27th November 2013
|
|
Our recent paper on laboratory measured
oscillator strengths for studies of Galactic
evolution (M. P. Ruffoni et al., Astrophys. J. 779,
17; 2013) is featured in a Nature editorial on Laboratory Astrophysics. In this piece,
the editors argue for greater funding of Laboratory Astrophysics in the future, and refer to our work as
an example of studies that are needed in support of major astronomy and astrophysics projects. They also
reiterate what we have observed previously: that "multimillion-dollar projects ... are producing data that
cannot be analysed because of a failure to support much cheaper lab work on the ground". The full article is available
on the Nature website.
|

Nature Editorial
|
Atomic data for studies of star forming regions
"Forbidden Lines" Revealed in Cobalt and Vanadium (download PDF)
|
|
The Astrophysical Journal Supplement Series has
today accepted our latest paper for publication, in which we report accurate Ritz Wavelengths of
Parity-Forbidden [Co II] and [V II] lines. These so-called "forbidden lines" arise
from electronic transitions between metastable states of an atom and its ground state, and are
not observed in high-density plasmas, such as in the atmospheres of stars. However, they are
observed in other astronomical objects, including planetary nebulae and star-forming regions,
and gas clouds around active galactic nuclei. These new results will therefore aid in the analysis
of spectra from these objects.
|

The Ring Nebula (M57)
|